一站式专升本服务平台,免费咨询让你升学无忧
专升本老师
专升本网资深指导老师
高数专升本考试真题
【导语】2022年天津专升本考试会先考文化课,这里给大家整理提供高等数学真题,快来看看吧!

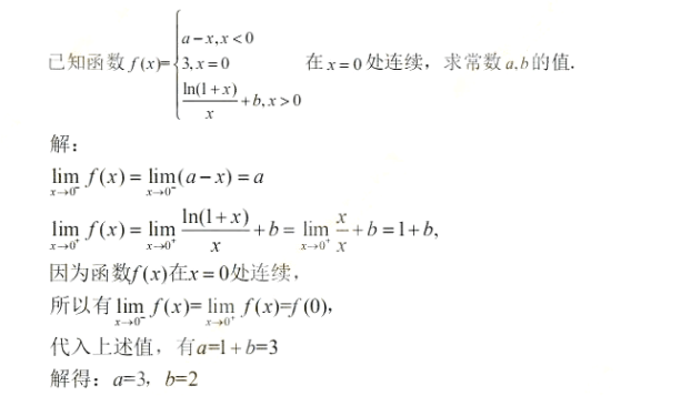
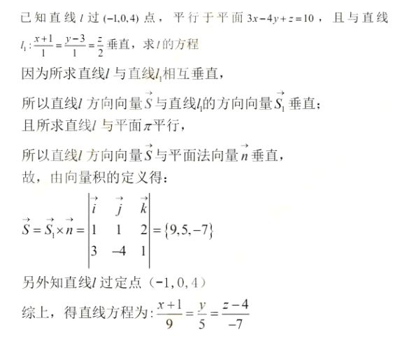
2021年天津专升本考试高数真题如下





以上就是“高数专升本考试题真题”的相关内容,同学们看完后相信对天津专升本考试学院的情况有了大致了解,如想了解更多关于天津专升本的相关资讯,如政策公告、复习备考、历年分数线,常见问题。敬请关注天津专升本网。
展开全文
—— 没找你想要的专升本资讯?预约免费咨询 ——
你的姓名
*联系方式
就读年级
就读专业
立即预约

天津专升本声明
(一)由于考试政策等各方面情况的不断调整与变化,本网站所提供的考试信息仅供参考,请以权威部门公布的正式信息为准。
(二)本网站在文章内容来源出处标注为其他平台的稿件均为转载稿,免费转载出于非商业性学习目的,版权归原作者所有。如您对内容、版权等问题存在异议请于我们联系,我们会及时处理。
文章来源于网络,如有侵权,请联系删除
点击继续阅读>>
扫码登录
扫码关注“天津专升本”微信公众号
即可查看余下内容
二维码以过期,请重新刷新
天津专升本报名指导入口
专升本考生服务
添加我们企业微信
回复关键词,了解更多专升本咨询
可为您第一时间推送专升本相关资讯

升本培训班
统招报名
成考报名
英语四级
教师资格
升本福利官 


